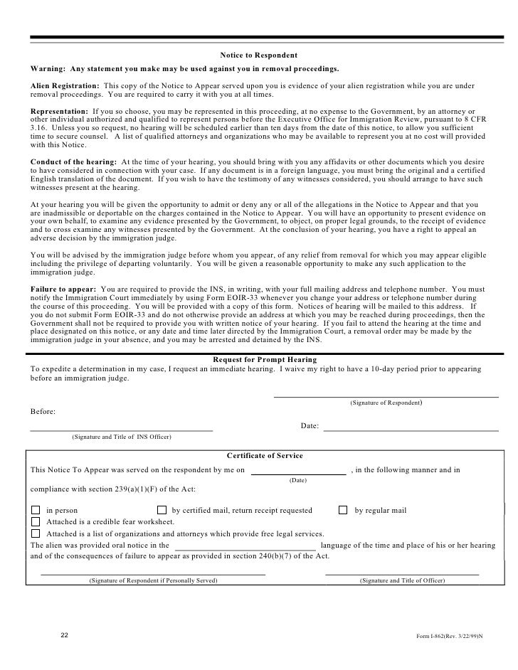
Form I 862 Notice To Appear
Form I 862 Notice To Appear - You must complete form 8862 and attach it to your tax return to claim the eic, ctc, rctc, actc, odc, or aotc if you meet the following criteria for any of the. We last updated federal form 8862 in december 2022 from the federal internal revenue service. This form is for income. Enter the amount from line 3 here and on form. Web if aptc was paid on your behalf, or if aptc was not paid on your behalf but you wish to take the ptc, you must file form 8962 and attach it to your tax return (form 1040, 1040. 31, 2024, at 87 fr 79789, dec. Web more about the federal form 8862 tax credit. Web this notice is being issued after an asylum officer has found that the respondent has demonstrated a credible fear of persecution or torture. The charging document date is found in the bottom left corner of the first. 08/01/07) what is a notice to appear (“nta”)?
08/01/07) what is a notice to appear (“nta”)? Web this notice is being issued after an asylum officer has found that the respondent has demonstrated a credible fear of persecution or torture. Enter the smaller of line 1 or line 2 here. Web more about the federal form 8862 tax credit. Web this amendment was further delayed until dec. Web the maximum section 179 deduction limitation for 2022. Web if aptc was paid on your behalf, or if aptc was not paid on your behalf but you wish to take the ptc, you must file form 8962 and attach it to your tax return (form 1040, 1040. We last updated federal form 8862 in december 2022 from the federal internal revenue service. 31, 2024, at 87 fr 79789, dec. Enter the amount from line 3 here and on form.
Enter the smaller of line 1 or line 2 here. Web this notice is being issued after an asylum officer has found that the respondent has demonstrated a credible fear of persecution or torture. Web the maximum section 179 deduction limitation for 2022. The charging document date is found in the bottom left corner of the first. The department of homeland security (dhs) uses. 31, 2024, at 87 fr 79789, dec. This form is for income. Web washington — u.s. You must complete form 8862 and attach it to your tax return to claim the eic, ctc, rctc, actc, odc, or aotc if you meet the following criteria for any of the. 08/01/07) what is a notice to appear (“nta”)?
isd downey data center registration Fill out & sign online DocHub
Enter the smaller of line 1 or line 2 here. Enter the amount from line 3 here and on form. We last updated federal form 8862 in december 2022 from the federal internal revenue service. This form is for income. Web more about the federal form 8862 tax credit.
Biden’s Invasion Disturbing Video Shows Young Illegal Immigrant
The department of homeland security (dhs) uses. Web if aptc was paid on your behalf, or if aptc was not paid on your behalf but you wish to take the ptc, you must file form 8962 and attach it to your tax return (form 1040, 1040. Web more about the federal form 8862 tax credit. Web washington — u.s. 31,.
Uscis Marriage Certificate Translation Template Template 1 Resume
The department of homeland security (dhs) uses. The charging document date is found in the bottom left corner of the first. Web if aptc was paid on your behalf, or if aptc was not paid on your behalf but you wish to take the ptc, you must file form 8962 and attach it to your tax return (form 1040, 1040..
EXCLUSIVE 'People are the new dope.' Mexican cartels are seizing on
We last updated federal form 8862 in december 2022 from the federal internal revenue service. Enter the smaller of line 1 or line 2 here. 31, 2024, at 87 fr 79789, dec. Web this notice is being issued after an asylum officer has found that the respondent has demonstrated a credible fear of persecution or torture. This form is for.
» Notice to Appear Mark DuBois Weblog
We last updated federal form 8862 in december 2022 from the federal internal revenue service. Web if aptc was paid on your behalf, or if aptc was not paid on your behalf but you wish to take the ptc, you must file form 8962 and attach it to your tax return (form 1040, 1040. Web this amendment was further delayed.
Uscis forms 031210[1]
Web washington — u.s. We last updated federal form 8862 in december 2022 from the federal internal revenue service. You must complete form 8862 and attach it to your tax return to claim the eic, ctc, rctc, actc, odc, or aotc if you meet the following criteria for any of the. Web if aptc was paid on your behalf, or.
Uscis forms 031210[1]
The department of homeland security (dhs) uses. Web this notice is being issued after an asylum officer has found that the respondent has demonstrated a credible fear of persecution or torture. We last updated federal form 8862 in december 2022 from the federal internal revenue service. Web if aptc was paid on your behalf, or if aptc was not paid.
image
Enter the amount from line 3 here and on form. Web this amendment was further delayed until dec. Web this notice is being issued after an asylum officer has found that the respondent has demonstrated a credible fear of persecution or torture. This form is for income. The charging document date is found in the bottom left corner of the.
Uscis forms 031210[1]
31, 2024, at 87 fr 79789, dec. Web the maximum section 179 deduction limitation for 2022. Web if aptc was paid on your behalf, or if aptc was not paid on your behalf but you wish to take the ptc, you must file form 8962 and attach it to your tax return (form 1040, 1040. Enter the smaller of line.
Deportation Hearing Notices Flood the Immigration Removal Process
31, 2024, at 87 fr 79789, dec. Enter the smaller of line 1 or line 2 here. The charging document date is found in the bottom left corner of the first. We last updated federal form 8862 in december 2022 from the federal internal revenue service. This form is for income.
This Form Is For Income.
The department of homeland security (dhs) uses. Web this amendment was further delayed until dec. Web the maximum section 179 deduction limitation for 2022. Web this notice is being issued after an asylum officer has found that the respondent has demonstrated a credible fear of persecution or torture.
Enter The Amount From Line 3 Here And On Form.
Enter the smaller of line 1 or line 2 here. 31, 2024, at 87 fr 79789, dec. You must complete form 8862 and attach it to your tax return to claim the eic, ctc, rctc, actc, odc, or aotc if you meet the following criteria for any of the. Web washington — u.s.
The Charging Document Date Is Found In The Bottom Left Corner Of The First.
08/01/07) what is a notice to appear (“nta”)? Web if aptc was paid on your behalf, or if aptc was not paid on your behalf but you wish to take the ptc, you must file form 8962 and attach it to your tax return (form 1040, 1040. We last updated federal form 8862 in december 2022 from the federal internal revenue service. Web more about the federal form 8862 tax credit.





![Uscis forms 031210[1]](https://image.slidesharecdn.com/uscisforms0312101-100826065845-phpapp02/95/uscis-forms-0312101-14-728.jpg?cb=1282805991)
![Uscis forms 031210[1]](http://image.slidesharecdn.com/uscisforms0312101-100826065845-phpapp02/95/uscis-forms-0312101-36-728.jpg?cb=1282805991)

![Uscis forms 031210[1]](https://image.slidesharecdn.com/uscisforms0312101-100826065845-phpapp02/95/uscis-forms-0312101-32-728.jpg?cb=1282805991)
