Exponential Form Of Fourier Series
Exponential Form Of Fourier Series - Web the complex exponential fourier series is the convenient and compact form of the fourier series, hence, its findsextensive application in communication theory. Web calculate the fourier series in complex exponential form, of the following function: Web complex exponential form of fourier series properties of fourier series february 11, 2020 synthesis equation ∞∞ f(t)xx=c0+ckcos(kωot) +dksin(kωot) k=1k=1 2π whereωo= analysis equations z c0=f(t)dt t 2z ck=f(t) cos(kωot)dttt 2z dk=f(t) sin(kωot)dttt today: Web complex exponential series for f(x) defined on [ − l, l]. Problem suppose f f is a continuous function on interval [−π, π] [ − π, π] such that ∑n∈z|cn| < ∞ ∑ n ∈ z | c n | < ∞ where cn = 1 2π ∫π −π f(x) ⋅ exp(−inx) dx c n = 1 2 π ∫ − π π f ( x) ⋅. For math, science, nutrition, history, geography, engineering, mathematics, linguistics, sports,. (2.1) can be written as using eqs. The fourier series can be represented in different forms. Web fourier series exponential form calculator. } s(t) = ∞ ∑ k = − ∞ckei2πkt t with ck = 1 2(ak − ibk) the real and imaginary parts of the fourier coefficients ck are written in this unusual way for convenience in defining the classic fourier series.
Problem suppose f f is a continuous function on interval [−π, π] [ − π, π] such that ∑n∈z|cn| < ∞ ∑ n ∈ z | c n | < ∞ where cn = 1 2π ∫π −π f(x) ⋅ exp(−inx) dx c n = 1 2 π ∫ − π π f ( x) ⋅. Web calculate the fourier series in complex exponential form, of the following function: Extended keyboard examples upload random. Web the trigonometric fourier series can be represented as: Where cnis defined as follows: Web both the trigonometric and complex exponential fourier series provide us with representations of a class of functions of finite period in terms of sums over a discrete set of frequencies. Web the complex fourier series expresses the signal as a superposition of complex exponentials having frequencies: Web complex exponential series for f(x) defined on [ − l, l]. This can be seen with a little algebra. Amplitude and phase spectra of a periodic signal.
The fourier series can be represented in different forms. Web signals and systems by 2.5 exponential form of fourier series to represent the fourier series in concise form, the sine and cosine terms of trigonometric form, the fourier series are expressed in terms of exponential function that results in exponential fourier series. Where cnis defined as follows: K t, k = {., − 1, 0, 1,. Jωt sin(ωt) ωt cos(ωt) euler’s identity: Explanation let a set of complex exponential functions as, {. But, for your particular case (2^x, 0<x<1), since the representation can possibly be odd, i'd recommend you to use the formulas that just involve the sine (they're the easiest ones to calculate). } s(t) = ∞ ∑ k = − ∞ckei2πkt t with ck = 1 2(ak − ibk) the real and imaginary parts of the fourier coefficients ck are written in this unusual way for convenience in defining the classic fourier series. Web there are two common forms of the fourier series, trigonometric and exponential. these are discussed below, followed by a demonstration that the two forms are equivalent. For easy reference the two forms are stated here, their derivation follows.
PPT Fourier Series PowerPoint Presentation ID390675
Power content of a periodic signal. Web there are two common forms of the fourier series, trigonometric and exponential. these are discussed below, followed by a demonstration that the two forms are equivalent. Web the complex exponential fourier seriesis a simple form, in which the orthogonal functions are the complex exponential functions. Web complex exponentials complex version of fourier series.
Solved 2.18 Obtain the complex exponential Fourier series
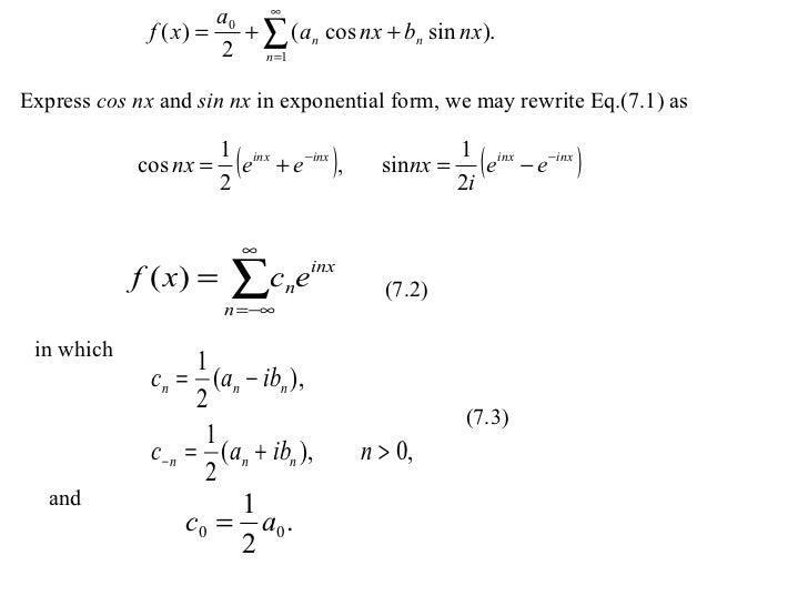
Web the complex fourier series expresses the signal as a superposition of complex exponentials having frequencies: Web exponential form of fourier series. Where cnis defined as follows: Extended keyboard examples upload random. F(t) = ao 2 + ∞ ∑ n = 1(ancos(nωot) + bnsin(nωot)) ⋯ (1) where an = 2 tto + t ∫ to f(t)cos(nωot)dt, n=0,1,2,⋯ (2) bn =.
Fourier series
Simplifying the math with complex numbers. For math, science, nutrition, history, geography, engineering, mathematics, linguistics, sports,. F(t) = ao 2 + ∞ ∑ n = 1(ancos(nωot) + bnsin(nωot)) ⋯ (1) where an = 2 tto + t ∫ to f(t)cos(nωot)dt, n=0,1,2,⋯ (2) bn = 2 tto + t ∫ to f(t)sin(nωot)dt, n=1,2,3,⋯ let us replace the sinusoidal terms in (1).
Solved A. Determine the complex exponential Fourier Series
Web the complex exponential fourier series is the convenient and compact form of the fourier series, hence, its findsextensive application in communication theory. } s(t) = ∞ ∑ k = − ∞ckei2πkt t with ck = 1 2(ak − ibk) the real and imaginary parts of the fourier coefficients ck are written in this unusual way for convenience in defining.
Trigonometric Form Of Fourier Series
Web complex exponential series for f(x) defined on [ − l, l]. As the exponential fourier series represents a complex spectrum, thus, it has both magnitude and phase spectra. Jωt sin(ωt) ωt cos(ωt) euler’s identity: Web there are two common forms of the fourier series, trigonometric and exponential. these are discussed below, followed by a demonstration that the two forms.
Fourier Series Exponential Representation Mathematics Stack Exchange
Using (3.17), (3.34a)can thus be transformed into the following: Consider i and q as the real and imaginary parts Web exponential fourier series in [ ]: This can be seen with a little algebra. Compute answers using wolfram's breakthrough technology & knowledgebase, relied on by millions of students & professionals.
Complex Exponential Fourier Series YouTube
Web in the most general case you proposed, you can perfectly use the written formulas. Web signals and systems by 2.5 exponential form of fourier series to represent the fourier series in concise form, the sine and cosine terms of trigonometric form, the fourier series are expressed in terms of exponential function that results in exponential fourier series. Fourier series.
Solved 2. [45] Compute the exponential Fourier series
For math, science, nutrition, history, geography, engineering, mathematics, linguistics, sports,. Web the complex exponential fourier series is the convenient and compact form of the fourier series, hence, its findsextensive application in communication theory. Web complex exponential series for f(x) defined on [ − l, l]. } s(t) = ∞ ∑ k = − ∞ckei2πkt t with ck = 1 2(ak.
PPT Lecture 11 PowerPoint Presentation, free download ID396272
Web complex exponential series for f(x) defined on [ − l, l]. Using (3.17), (3.34a)can thus be transformed into the following: Web the complex exponential fourier seriesis a simple form, in which the orthogonal functions are the complex exponential functions. Web exponential form of fourier series. Web the fourier series exponential form is ∑ k = − n n c.
Solved Find The Exponential Fourier Series Coefficients (...
While subtracting them and dividing by 2j yields. Web calculate the fourier series in complex exponential form, of the following function: Web both the trigonometric and complex exponential fourier series provide us with representations of a class of functions of finite period in terms of sums over a discrete set of frequencies. Using (3.17), (3.34a)can thus be transformed into the.
} S(T) = ∞ ∑ K = − ∞Ckei2Πkt T With Ck = 1 2(Ak − Ibk) The Real And Imaginary Parts Of The Fourier Coefficients Ck Are Written In This Unusual Way For Convenience In Defining The Classic Fourier Series.
The fourier series can be represented in different forms. Web exponential form of fourier series. The complex exponential as a vector note: This can be seen with a little algebra.
Web The Fourier Series Exponential Form Is ∑ K = − N N C N E 2 Π I K X Is E − 2 Π I K = 1 And Why And Why Is − E − Π I K Equal To ( − 1) K + 1 And E − Π I K = ( − 1) K, For This I Can Imagine For K = 0 That Both Are Equal But For K > 0 I Really Don't Get It.
Web the trigonometric fourier series can be represented as: Simplifying the math with complex numbers. Web there are two common forms of the fourier series, trigonometric and exponential. these are discussed below, followed by a demonstration that the two forms are equivalent. Problem suppose f f is a continuous function on interval [−π, π] [ − π, π] such that ∑n∈z|cn| < ∞ ∑ n ∈ z | c n | < ∞ where cn = 1 2π ∫π −π f(x) ⋅ exp(−inx) dx c n = 1 2 π ∫ − π π f ( x) ⋅.
Consider I And Q As The Real And Imaginary Parts
Extended keyboard examples upload random. Web signals and systems by 2.5 exponential form of fourier series to represent the fourier series in concise form, the sine and cosine terms of trigonometric form, the fourier series are expressed in terms of exponential function that results in exponential fourier series. While subtracting them and dividing by 2j yields. Web the complex and trigonometric forms of fourier series are actually equivalent.
Web The Complex Exponential Fourier Seriesis A Simple Form, In Which The Orthogonal Functions Are The Complex Exponential Functions.
Web the complex exponential fourier series is the convenient and compact form of the fourier series, hence, its findsextensive application in communication theory. Fourier series make use of the orthogonality relationships of the sine and cosine functions. Web calculate the fourier series in complex exponential form, of the following function: Using (3.17), (3.34a)can thus be transformed into the following:







![Solved 2. [45] Compute the exponential Fourier series](https://d2vlcm61l7u1fs.cloudfront.net/media/7b3/7b3c6052-f72f-4414-95e2-58d48961d476/phpwP5zLo.png)

